聯系我們
18903178757
- 地址:
- 河北省泊頭市富鎮開發區
- 傳真:
- 0317-8041117
- Q Q:
- 28505225
布袋除塵器除塵效率是如何計算出來的
布袋除塵器除塵效率是如何計算出來的正在運行中的的布袋除塵器,過濾效率公式:
η=1-C0/Ci
過濾除塵器的除塵效率關系式有兩種,一種是經理論推導的除塵效率與孤立粉塵捕集體綜合捕集效率的計算式,另一種是根據實驗數據而建立的半理論半經驗的關系式。
式中:C0——通過過濾器后的潔凈氣體含塵濃度,kg/m3; Ci——含塵氣體的進口濃度,kg/m3。
(一)經驗與半經驗公式
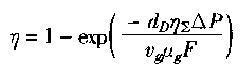
1.基爾什、斯捷奇金和富克思等人提出的纖維過濾器的除塵效率經驗式為:

式中:△P——過濾除塵器的阻力,Pa;
vg——粉塵粒子相對于捕塵體的速度,m/s;
μg——含塵氣體粘度,Pa·s;
F——過濾除塵器結構不完善參數,可按下式計算:

式中:Kr——氣動因素;
Kn——克努德森準數。
2.蘭格繆爾提出的顆粒層過濾器半經驗效率計算式為:

式中:K——斯密特常數,通常取3.75。
通常,過濾除塵器的除塵效率超過99.5%。因此,在選擇除塵器時,一般不需計算除塵效率。影響除塵效率的因素主要有以下方面:
運行參數,包括過濾速度、阻力、氣體溫度、濕度、清灰頻率和強度等;
清灰方式,包括機械振打、反向氣流、壓縮空氣脈沖和氣環等。
灰塵的性質,包括被過濾粉塵的粒徑、慣性力、形狀、靜電荷、含濕量等,對于有外靜電場的過濾除塵器,還要考慮粉塵的比電阻;織物性質,包括織物原料、纖維和紗線的粗細,織造和氈合方式,織物厚度,空隙率等;
而對粉塵透過率增高,主要有兩個方面:
①直通機制,在過濾中粉塵不被阻留而直接通過,塵粒通過時可能繞一條曲折的路線而過,也可能直接通過濾料表面的針孔而過,一般高的過濾速度可使針孔直通量增加;
②滲漏機制,起初被濾料阻留的灰塵,由于清灰后變得松散而被吹過濾袋;或當過濾阻力增大時,一些已被捕集的灰塵又被擠壓過去。有一些粉塵則從針孔漏出去。在高濾速或織物受振動時,滲漏可能加重。
(二)理論公式
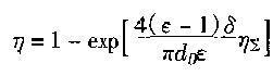
1.當過濾除塵器內所填充的為圓球形捕塵體(顆粒濾料)時,過濾除塵器的除塵效率與單個球形捕塵體的綜合捕塵效率關系式為:

式中:η——顆粒過濾除塵器的除塵效率;
dD——圓球形捕塵體(顆粒濾料)的直徑,m;
η∑——單一圓球塵體的綜合捕塵效率。
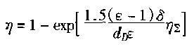
2.當過濾器內所填充的為與圓柱形纖維捕塵體時,纖維層過濾除塵器的除塵效率與單一纖維捕塵體的綜合捕塵效率關系式為:
式中:
dD——纖維直徑,m;
η∑——單根纖維的綜合捕塵效率。
η——纖維過濾除塵器的除塵效率; ε——過濾層空隙率;
δ——過濾層厚度,m;
上一篇:布袋除塵器的氣布比是什么
下一篇:布袋除塵器注意事項